山东001在线

 找回密码
 立即注册
搜索
查看: 680|回复: 0

从单反到手机,三种黄金比例构图方法,让你的照片与众不同

[复制链接]
  • TA的每日心情
    郁闷
    2018-2-22 13:59
  • 签到天数: 2 天

    [LV.1]初来乍到

    发表于 2019-11-5 16:01:51 | |阅读模式
    作者:今日头条

    古埃及金字塔和达芬奇蒙娜丽莎有什么共同之处?它们都是使用黄金比例进行设计的。不管是建筑设计还是绘画,它们都是属于艺术的一种,所以黄金比例也同样适用于摄影构图中。很多优秀的摄影作品都会使用黄金比例的构图方法进行拍摄,因为这种构图的方法更加的符合人们的视觉习惯,让观众清楚地知道你的作品中所要表达的内容。

    我们的人物面部和身体也在遵循着黄金比例的原则。

    从单反到手机,三种黄金比例构图方法,让你的照片与众不同-1.jpg



    实际上,我们的大脑很难接受使用了黄金比例的图像或者对象,但它视乎有一种潜意识的吸引力,对黄金比例的一些微小的调整,都会对我们的大脑产生很大的影响。

    第一种使用黄金比例构图的方法

    自从人们发现黄金比例以来,艺术家们一直使用这个它进行绘画、建筑设计和摄影构图,贝多芬在他著名的第五部交响曲中也使用了它。用黄金比例的构图比较严谨,是人们视觉的最佳状态,所以称为“黄金”,那么它是多少呢?

    为了解释黄金比例,我们使用一条线,将线条分成两个部分。

    从单反到手机,三种黄金比例构图方法,让你的照片与众不同-2.jpg



    线被分成两个部分“a”和“b”,使得较大部分(a)与较小部分(b)的比率等于整个长度(a + b)与较大部分(a)的比率 。公式:a / b =(a + b)/ a。这个公式的结果是一个无理数,通常被称为"黄金比例"或phi。黄金比例phi约等于1.618。

    为了更直观的理解,我们以分数表示,就是如下公式,黄金比例大约是5/8:

    从单反到手机,三种黄金比例构图方法,让你的照片与众不同-3.jpg



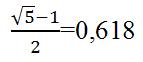
    你可能会问,黄金比例不是1.628吗?怎么变成0.618了,其实它们就是倒数的关系,这里用5/8,是为了我们以后更好的构图需要。好了,现在我们用分数表示这种比例关系,如下:

    从单反到手机,三种黄金比例构图方法,让你的照片与众不同-4.jpg



    将一条线分成3/8和5/8两个线段,它们中间的点就是黄金分割点,也是我们在构图是,将要表达的主体放置的兴趣点。在一张照片中,它们看起来是这样的。

    从单反到手机,三种黄金比例构图方法,让你的照片与众不同-5.jpg



    我们如果使用黄金比例的方法来构图,可以像上面图片所示的一样,将主体放在画面中的横竖四条线上或者1、2、3、4这四个焦点上,这也叫黄金分割法构图。

    它区别与三分法构图,三分法构图只是将画面三等分成6个相等的部分,也可以说三分法构图是黄金分割法的简易版本。那么我们应该如何使用呢?

    如果你使用的是手机,那么很方便,我们可以直接在画面中看见这些网格,然后按照上面的规则拍照即可。以华为手机为例,打开相机,从右向左滑动屏幕,然后在参考线选项中选择黄金比例即可。

    从单反到手机,三种黄金比例构图方法,让你的照片与众不同-6.jpg



    如果你是使用相机进行拍摄,可以线用三分法构图拍摄,然后在后期通过裁剪得到。首先将图片导入到LR中后,选择修改照片,然后选择裁剪工具,按键盘上的O键,来切换构图模式即可。

    从单反到手机,三种黄金比例构图方法,让你的照片与众不同-7.jpg



    第二种使用黄金比例构图的方法

    这张方法叫黄金三角形,与上面说的黄金分割法类似,它的原理就是将画面划分成三个三角形,然后将被摄主体放在较大的三角形之中,那么这样构图会看起来会非常和谐。

    从单反到手机,三种黄金比例构图方法,让你的照片与众不同-8.jpg



    如果画面中包含多个主体,可以使用这种构图方式,多用于风景摄影中。

    从单反到手机,三种黄金比例构图方法,让你的照片与众不同-9.jpg



    使用方法与黄金分割法类似,后期通过按O键,切换构图方式在裁剪,在手机中目前还未见过有这种的参考线。

    第三种使用黄金比例构图的方法

    第三种应用黄金比例的方法是斐波那契螺旋。它是根据斐波那契数列画出来的螺旋曲线,是自然界中最完美的黄金比例。它将一个矩形按照黄金比例进行切割,切割成不同的小矩形,如下图:

    从单反到手机,三种黄金比例构图方法,让你的照片与众不同-10.jpg



    理论上来说,它可以分成无限多的小矩形,之后我们沿着每个矩形的对角线的切点绘制切割曲线,最终会得到斐波那契螺旋。

    从单反到手机,三种黄金比例构图方法,让你的照片与众不同-11.jpg



    在摄影中,使用斐波那契螺旋构图拍摄照片的最基本原则是将主体放置在螺旋的中心,其他的次要主体放置在螺旋外围的引导线上。说着简单,但实际使用是,却没有那么容易。我们在使用单反或者无反时,相机内没有斐波那契螺旋参考线,所以我们只能前期依靠自己“摄影之眼”大概拍摄一下,然后在后期进行裁剪,具体方法和上面黄金分割法一样,也是在LR中,切换到带有斐波那契螺旋参考线后,然后裁剪图片。

    从单反到手机,三种黄金比例构图方法,让你的照片与众不同-12.jpg



    如果使用手机,那就会方便很多,以华为手机为例,打开相机,从右向左滑动屏幕,然后在参考线选项中选择左螺旋或者右螺旋,就可轻松的使用这种黄金构图方式了。

    从单反到手机,三种黄金比例构图方法,让你的照片与众不同-13.jpg



    下面是使用黄金比例拍摄的作品示例,供欣赏学习。

    从单反到手机,三种黄金比例构图方法,让你的照片与众不同-14.jpg



    从单反到手机,三种黄金比例构图方法,让你的照片与众不同-15.jpg



    从单反到手机,三种黄金比例构图方法,让你的照片与众不同-16.jpg



    最后献上著名摄影师埃里克.德.梅尔说过的一句话“构图是优秀摄影作品的一个不可或缺的要素,没有了构图,摄影这门艺术将毫无价值”。

    QQ|手机版|小黑屋|Archiver|山东001在线 ( ICP11027147 )

    GMT+8, 2026-4-4 08:21 , Processed in 0.046887 second(s), 23 queries , Gzip On.

    Powered by Discuz! X3.4

    © 2001-2023 Discuz! Team.

    快速回复 返回顶部 返回列表